Грамматическое изменение в лабораторных условиях: может ли частота предъявления стимула в эксперименте сместить суждения о приемлемости?
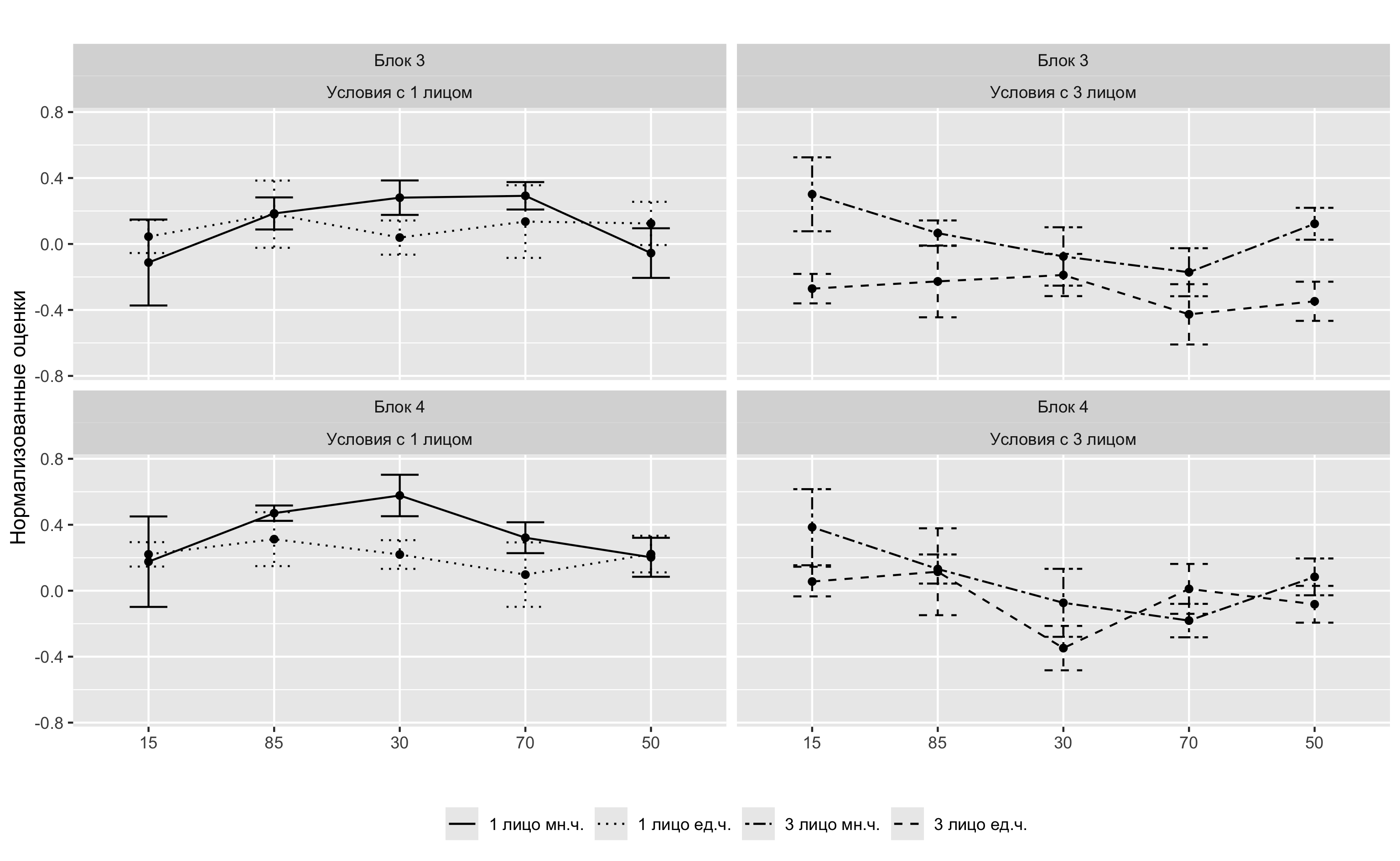
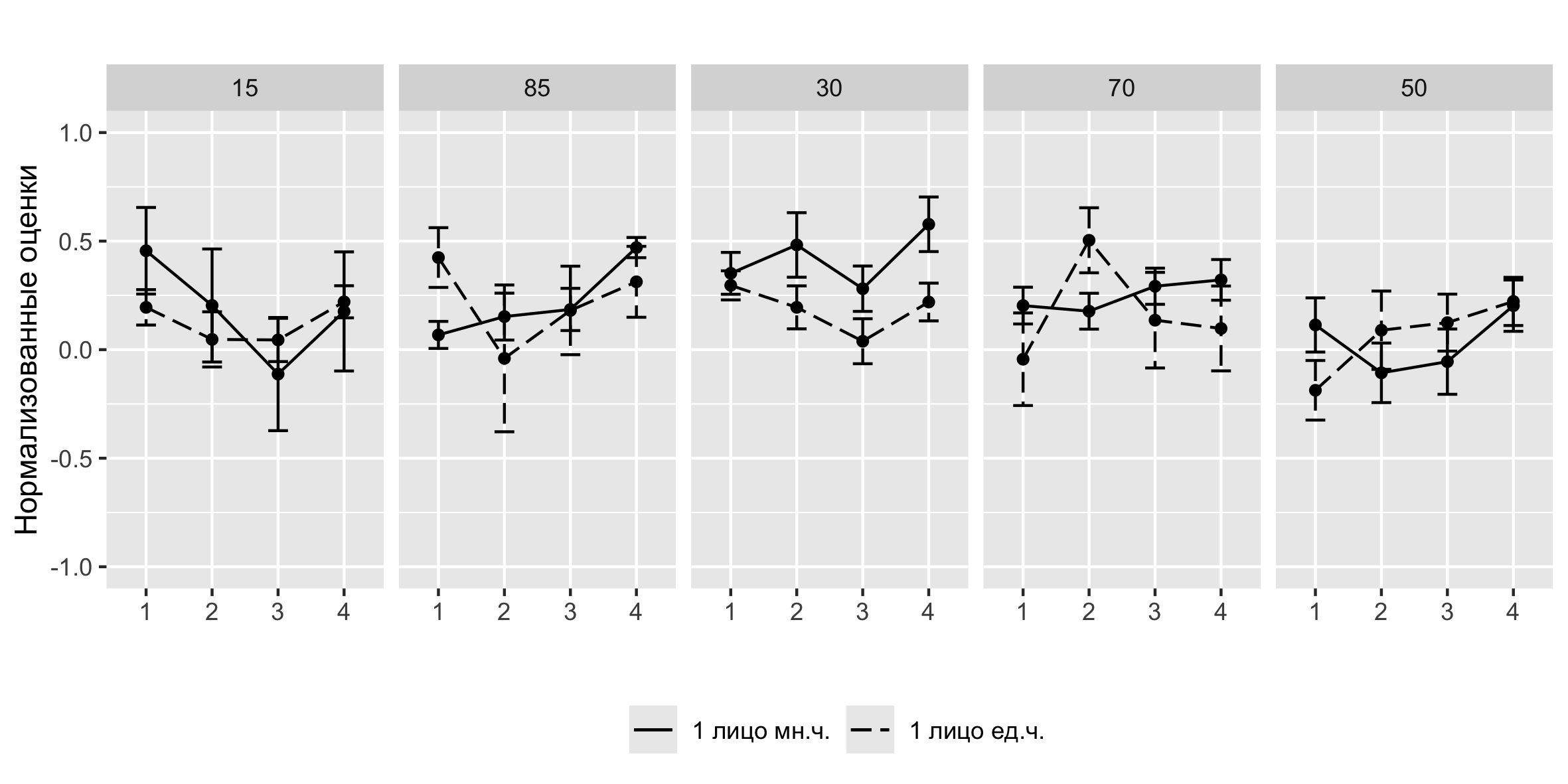
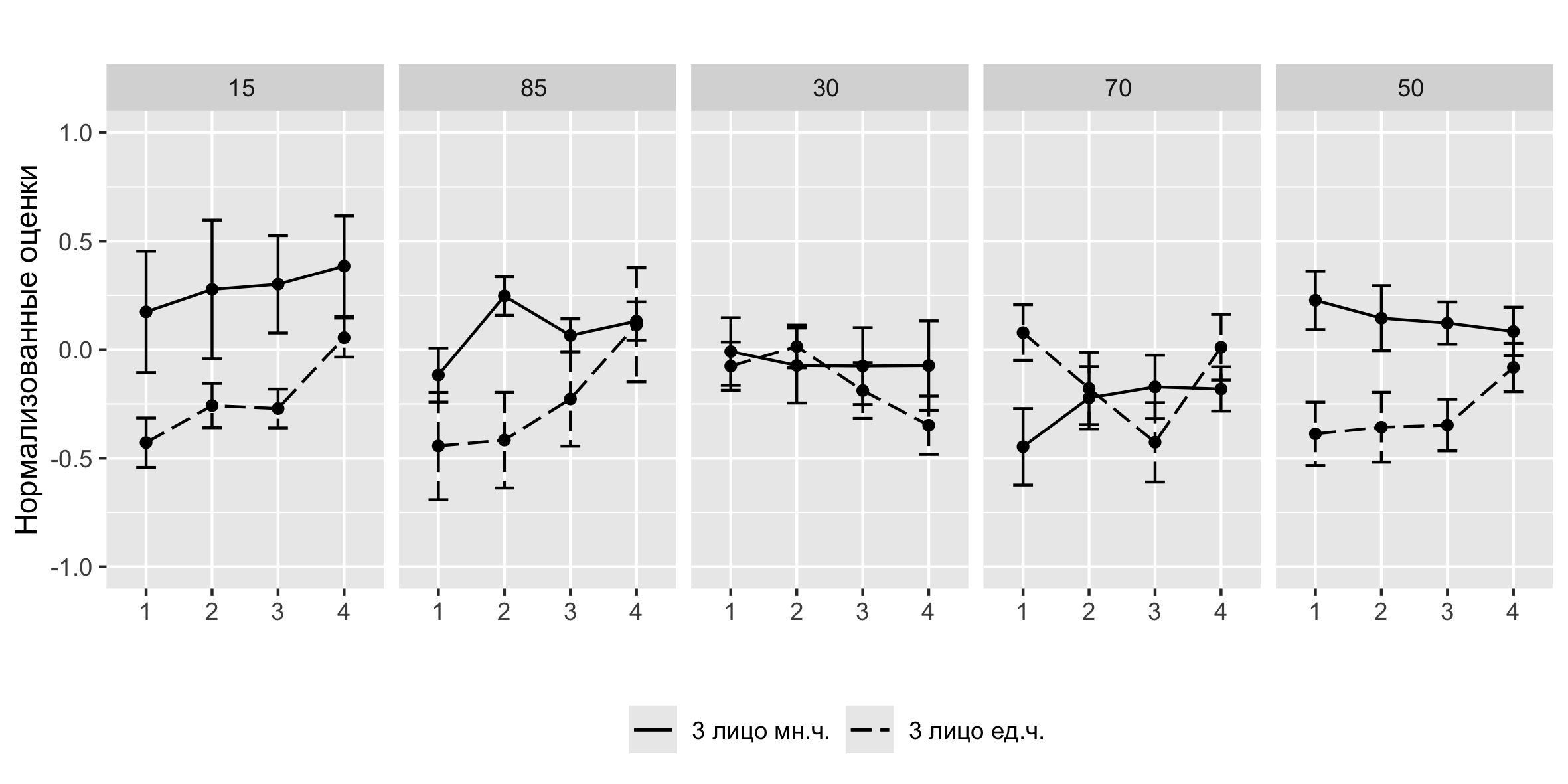
Статья посвящена экспериментальной проверке гипотезы о роли статистического научения в грамматических изменениях. Грамматические изменения связывают с тем, что носители адаптируют свое языковое поведение к переменному языковому сигналу. Ключевое значение для языковой адаптации имеет статистическое научение — способность выявлять закономерности на основе частотных характеристик языковых данных. При том, что эта идея стала общим местом для лингвистов из разных направлений, до сих пор не было изучено, как именно изменение статистического распределения конструкции во входном сигнале влияет на грамматические интуиции носителей языка. В статье представлен эксперимент, моделирующий ситуацию грамматического изменения в условиях внутриязыковой вариативности. На материале вариативного согласования с сочиненным подлежащим в русском языке проверялось, влияют ли различия в соотношении частоты предъявления конкурирующих грамматических вариантов на оценки приемлемости. Рассматривалось лично-числовое согласование с сочиненным подлежащим, включающим местоименный и именной конъюнкты. Было проведено два параллельных эксперимента для двух пар согласовательных стратегий. Пары стратегий были выбраны на основе экспериментальных данных из литературы: варианты в парах не отличаются по приемлемости, причем первая пара занимает верхнюю область шкалы приемлемости, а вторая — срединную. Дизайн экспериментов был межгрупповой, экспериментальная переменная частоты предъявления варианта имела пять уровней. Ожидание состояло в том, что при изменении соотношения вариантов возможно, с одной стороны, смещение абсолютных оценок, а с другой — появление статистически значимого различия между двумя вариантами. Результаты эксперимента оказались неоднозначными: хотя эффект смещения оценок был обнаружен, его аномальный и несистематический характер не позволяет исключить его интерпретацию как методологического артефакта. При этом выявлен другой значимый эффект — зависимость грамматических суждений от уровня приемлемости сопутствующего языкового материала.
Иллюстрации




























Пока никто не оставил комментариев к этой публикации.
Вы можете быть первым.
Анисимова А. Г. Влияние линейного расстояния на предикативное согласование с количественными существительными // Конференция молодых исследователей по экспериментальной лингвистике «Экспериментальные исследования языка». 19–21 июня 2025. НИВЦ, МГУ имени М. В. Ломоносова.
Белова Д Д., Давидюк Т. И. Предикативное согласование по φ-признакам с сочиненным подлежащим в русском языке // Типология морфосинтаксических параметров. 2022. Т. 5. № 1. С. 13–34.
Белова Д. Д., Давидюк Т. И. Согласование с сочиненным подлежащим, содержащим личное местоимение: экспериментальное исследование на материале русского языка // Rhema. Рема. 2023. № 2. С. 53–88. DOI: 10.31862/2500-2953-2023-2-53-88
Белова С. С., Харлашина Г. А. Непреднамеренное, имплицитное и статистическое научение в усвоении второго языка: экспериментальные данные о семантике, морфологии и синтаксисе // Вопросы психолингвистики. 2015. № 26. С. 22–31.
Бурлак С. А., Старостин С. А. Сравнительно-историческое языкознание. М.: Академия, 2005. 432 с.
Герасимова А. А. Количественные методы исследования грамматических ограничений: на материале вариативного согласования в русском языке: Дис. … канд. филол. наук. М., 2023. 425 с.
Герасимова А. А., Лютикова Е. А. Лингвистический эксперимент на платформе Яндекс.Толока: оценка исследовательских возможностей // Zeitschrift für Slavische Philologie. 2022. Т. 78. № 1. С. 175–206.
Герасимова А. А., Лютикова Е. А., Паско Л. И. Языковая компетенция сквозь призму грамматической вариативности. Часть 2. Количественная оценка // Вестник Московского университета. Серия 9: Филология. 2024. № 5. С. 111–128. DOI: 10.55959/MSU0130-0075-9-2024-47-05-9
Гриценко И. О. Лично-числовое согласование при сочиненном подлежащем, содержащем местоимение, в русском языке: фактор абстрактности-конкретности именного конъюнкта // Rhema. Рема. 2024. № 4. С. 89–106. DOI: 10.31862/2500-2953-2024-4-89-106
Гриценко И. О. Lexical Distributivity and Variable Subject–Verb Agreement in Russian // Конференция молодых исследователей по экспериментальной лингвистике «Экспериментальные исследования языка». 19–21 июня 2025. НИВЦ, МГУ имени М. В. Ломоносова.
Давидюк Т. И. Лично-числовое согласование и взаимное расположение конъюнктов и предиката: экспериментальное исследование // Русский язык в научном освещении. 2023. № 2 (46). С. 220–234. DOI: 10.31912/rjano-2023.2.9
Давидюк Т. И. Признаковые асимметрии предикативного согласования в русском языке (экспериментальное исследование): Дис. … канд. филол. наук. М., 2025. 197 с.
Лесняк К. К. Проблема выбора формы существительного при сочинении согласуемых и несогласуемых модификаторов в русском языке: экспериментальное исследование // Конференция молодых исследователей по экспериментальной лингвистике «Экспериментальные исследования языка». 19–21 июня 2025. НИВЦ, МГУ имени М. В. Ломоносова.
Лютикова Е. А., Герасимова А. А. (ред.) Русские острова в свете экспериментальных данных: коллективная монография. М.: Буки-Веди, 2021. 412 с.
Панченко Ю. Д. Да и нет в ответах на общие вопросы с отрицанием в русском языке // Rhema. Рема. 2021. № 4. С. 38–68. DOI: 10.31862/2500-2953-2021-4-38-68
Паско Л. И. Против ATB-анализа частичного согласования в русском языке: экспериментальное исследование // Rhema. Рема. 2023. № 2. С. 89–103. DOI: 10.31862/2500-2953-2023-2-89-103
Пекелис О. Е. Сочинение. Материалы для проекта корпусного описания русской грамматики. Рукопись. 2013. URL: http://rusgram.ru/Сочинение.
Пекелис О. Е. «Частичное согласование» в конструкции с повторяющимся союзом: корпусное исследование основных закономерностей // Вопросы языкознания. 2013. № 4. С. 55–86.
Петелин Д. О. Статистическая мощность и чувствительность шкал Ликерта различной размерности в экспериментальном синтаксисе: Курсовая работа. М., 2020. 169 с. URL: https://expsynt.com/wp-content/uploads/2020_Petelin_term-paper.pdf
Петелин Д. О. Влияние модальности предъявления стимулов на оценки приемлемости в экспериментальной лингвистике: Диплом. работа бакалавра. М., 2021. 46 с. URL: https://expsynt.com/wp-content/uploads/2021_Petelin_thesis.pdf
Савчук С. О. Национальный корпус русского языка 2.0: новые возможности и перспективы развития / Савчук С. О., Архангельский Т. А., Бонч-Осмоловская А. А., Донина О. В., Кузнецова Ю. Н., Ляшевская О. Н., Орехов Б. В., Подрядчикова М. В. // Вопросы языкознания. 2024. № 2. С. 7–34. DOI: 10.31857/0373-658X.2024.2.7-34
Студеникина К. А. Влияние одушевленности конъюнктов и линейной позиции сказуемого на выбор стратегии предикативного согласования // Учебная конференция по экспериментальной лингвистике «Экспериментальные исследования языка». 22 июня 2023. МГУ имени М. В. Ломоносова.
Bates D. Parsimonious mixed models / Bates D., Kliegl R., Vasishth S., Baayen H. // arXiv preprint arXiv:1506.04967. 2015. 21 p. URL: https://arxiv.org/abs/1506.04967
Belova D. Evaluation and reading time of predicate agreement with conjuncts // Proceedings of 13th International Conference of Experimental Linguistics. 2022. P. 21–24.
Braze F. D. Grammaticality, acceptability and sentence processing: A psycholinguistic study: PhD thesis. University of Connecticut, 2002.
Bresnan J. Is syntactic knowledge probabilistic? Experiments with the English dative alternation // Roots: Linguistics in search of its evidential base / eds. S. Featherston, W. Sternefeld. Berlin; New York: De Gruyter, 2007. P. 77–96.
Brown J. M. M. Middle ratings rise regardless of grammatical construction: Testing syntactic variability in a repeated exposure paradigm / Brown J. M. M., Fanselow G., Hall R., Kliegl R. // PLoS ONE. 2021. Vol. 16. №. 5. Art. e0251280. DOI: 10.1371/journal.pone.0251280
Bybee J. What Is Usage‐Based Linguistics? // The Handbook of Usage‐Based Linguistics. 2023. P. 7–29.
Chaves R. P., Dery J. E. Which subject islands will the acceptability of improve with repeated exposure // Proceedings of the 31st West Coast Conference on Formal Linguistics. 2014. P. 96–106.
Chaves R. P., Dery J. E. Frequency effects in subject islands // Journal of Linguistics. 2019. Vol. 55. № 3. P. 475–521. DOI: 10.1017/S0022226718000294
Chaves R. P., Putnam M. T. Unbounded dependency constructions: Theoretical and experimental perspectives. Vol. 10. Oxford: Oxford University Press, USA, 2020. 280 p.
Coussé E., von Mengden F. (eds.). Usage-based approaches to language change. Amsterdam: John Benjamins Publishing Company, 2014. 250 p.
Cowart W. Experimental syntax: Applying objective methods to sentence judgments. Thousand Oaks: Sage Publications, 1997. 200 p.
Crawford J. Using syntactic satiation to investigate subject islands // Proceedings of the 29th West Coast Conference on Formal Linguistics. 2012. P. 38–45.
Culbertson J., Gross S. Are linguists better subjects? // The British Journal for the Philosophy of Science. 2009. Vol. 60. № 4. P. 721–736. DOI: 10.1093/bjps/axp032
Dąbrowska E. Naive vs. expert intuitions: An empirical study of acceptability judgments // The Linguistic Review. 2010. Vol. 27. № 1. P. 1–23. DOI: 10.1515/tlir.2010.001
Díaz-Campos M., Balasch S. (eds.). The handbook of usage-based linguistics. Hoboken: John Wiley & Sons, 2023. 550 p.
Do M. L., Kaiser E. The relationship between syntactic satiation and syntactic priming: A first look // Frontiers in Psychology. 2017. № 8. P. 18–51. DOI: 10.3389/fpsyg.2017.01851
Featherston S. Data in generative grammar: The stick and the carrot // Theoretical Linguistics. 2007. Vol. 33. № 3. P. 269–318. DOI: 10.1515/TL.2007.020
Francom J. C. Experimental syntax: Exploring the effect of repeated exposure to anomalous syntactic structure-evidence from rating and reading tasks: Ph.D. thesis. University of Arizona, 2009.
Gerbrand A. Statistical learning in infancy predicts vocabulary size in toddlerhood / Gerbrand A., Gredebäck G., Hedenius M., Forssman L., Lindskog M. // Infancy. 2022. Vol. 27. № 4. P. 700–719. DOI: 10.1111/infa.12471
Gordon P., Hendrick R. Intuitive knowledge of linguistic co-reference // Cognition. 1997. Vol. 62. № 3. P. 325–370. DOI: 10.1016/s0010-0277(96)00788-3
Gries S. T. Statistics for linguistics with R. Berlin: De Gruyter Mouton, 2021. 495 p.
Hiramatsu K. Accessing linguistic competence: Evidence from children’s and adults’ acceptability judgments: PhD thesis. University of Connecticut, 2001.
Isbilen E. S., Christiansen M. H. Statistical learning of language: A meta‐analysis into 25 years of research // Cognitive Science. 2022. Vol. 46. № 9. Art. e13198. DOI: 10.1111/cogs.13198
Kidd E., Arciuli J., Christiansen M. H., Smithson M. The sources and consequences of individual differences in statistical learning for language development // Cognitive Development. 2023. Vol. 66. Art. 101335. DOI: 10.1016/j.cogdev.2023.101335
Kidd E., Arciuli J. Individual differences in statistical learning predict children's comprehension of syntax // Child development. 2016. Vol. 87. № 1. P. 184–193. DOI: 10.1111/cdev.12461
Langsford S. Quantifying sentence acceptability measures: Reliability, bias, and variability / Langsford S., Perfors A., Hendrickson A. T., Kennedy L. A., Navarro D. J. // Glossa: a journal of general linguistics. 2018. Vol. 3. № 1. P. 1–34. https://doi.org/10.5334/gjgl.396
Lau J. H., Clark A., Lappin S. Grammaticality, acceptability, and probability: A probabilistic view of linguistic knowledge // Cognitive Science. 2017. Vol. 41. № 5. P. 1201–1241. DOI: 10.1111/cogs.12414
Lavechin M. Statistical learning bootstraps early language acquisition / Lavechin M., De Seyssel M., Titeux H., Bredin H., Wisniewski G., Cristia A., Dupoux E. 2022. P. 1–25. URL: https://osf.io/preprints/psyarxiv/rx94d_v1.
Linzen T., Oseki Y. The reliability of acceptability judgments across languages // Glossa: a journal of general linguistics. 2018. Vol. 3. № 1. Art. 100. P. 1–25. DOI: 10.5334/gjgl.528
Lu J., Frank M. C., Degen J. Lu J., Frank M. C., Degen J. (2024) A Meta-analysis of Syntactic Satiation in Extraction from Islands. Glossa Psycholinguistics 3(1): pp. 1–33. DOI: 10.5070/G60111425.
Lu J., Lassiter D., Degen J. (2021). Syntactic satiation is driven by speaker-specific adaptation. In Proceedings of the Annual Meeting of the Cognitive Science Society (Vol. 43), 1493–1499.
Lu J., Wright N., Degen J. Satiation effects generalize across island types // Proceedings of the Annual Meeting of the Cognitive Science Society. 2022. Vol. 44. P. 2724–2730.
Marty P., Chemla E., Sprouse J. The effect of three basic task features on the sensitivity of acceptability judgment tasks // Glossa. 2020. Vol. 5. № 1. Art. 72. P. 1–23. DOI: 10.5334/gjgl.980
Nagata H. Anchoring effects in judging grammaticality of sentences // Perceptual and Motor Skills. 1992. Vol. 75. № 1. P. 159–164.
R Core Team. R: A Language and Environment for Statistical Computing. Vienna: R Foundation for Statistical Computing, 2025. URL: https://www.R-project.org/
Reali F. Acceptability of Dative Argument Structure in Spanish: Assessing Semantic and Usage‐Based Factors // Cognitive Science. 2017. Vol. 41. № 8. P. 2170–2190. DOI: 10.1111/cogs.12459
Romberg A. R., Saffran J. R. Statistical learning and language acquisition // Wiley Interdisciplinary Reviews: Cognitive Science. 2010. Vol. 1. № 6. P. 906–914. DOI: 10.1002/wcs.78
Schoenmakers G. J. Linguistic judgments in 3D: The aesthetic quality, linguistic acceptability, and surface probability of stigmatized and non-stigmatized variation // Linguistics. 2023. Vol. 61. № 3. P. 779–824. DOI: 10.1515/ling-2021-0179
Schütze C. The empirical base of linguistics: Grammaticality judgments and linguistic methodology. Chicago; London: Chicago University Press, 1996. 237 p.
Schütze C. Linguistic evidence and grammatical theory // Wiley Interdisciplinary Reviews: Cognitive Science. 2011. Vol. 2. № 2. P. 206–221.
Schütze C., Sprouse J. Judgment data // Research methods in linguistics / eds. D. Sharma, R. Podesva. Cambridge: Cambridge University Press, 2014. P. 27–50.
Snow C., Meijer G. On the secondary nature of syntactic intuitions // Acceptability in language / ed. by S. Greenbaum. The Hague: Mouton, 1977. P. 163–177.
Snyder W. An experimental investigation of syntactic satiation effects // Linguistic Inquiry. 2000. Vol. 31. № 3. P. 575–582. DOI: 10.1162/002438900554479
Snyder W. On the nature of syntactic satiation // Languages. 2022. Vol. 7. № 1. P. 38. DOI: 10.3390/languages7010038
Sprouse J. Continuous acceptability, categorical grammaticality, and experimental syntax // Biolinguistics. 2007. Vol. 1. № 1. P. 123–134.
Sprouse J. Revisiting satiation: Evidence for an equalization response strategy // Linguistic Inquiry. 2009. Vol. 40. № 2. P. 329–341.
Sprouse J., Almeida D. Setting the empirical record straight: Acceptability judgments appear to be reliable, robust, and replicable // Behavioral and Brain Sciences. 2017. Vol. 40. Art. e311. DOI: 10.1017/S0140525X17000590, e311
Sprouse J. Colorless green ideas do sleep furiously: Gradient acceptability and the nature of the grammar / Sprouse J., Yankama B., Indurkhya S., Fong S., Berwick R. C. // The Linguistic Review. 2018. Vol. 35. № 3. P. 575–599. DOI: 10.1515/tlr-2018-0005
Voeten C. C. buildmer: Stepwise elimination and term reordering for mixed-effects regression. R package version 2.3. 2020.
Vogel R. Grammatical taboos: An investigation on the impact of prescription in acceptability judgement experiments // Zeitschrift für Sprachwissenschaft. 2019. Vol. 38. № 1. P. 37–79. DOI: 10.1515/zfs-2019-0002
Zehr J., Schwarz F. PennController for Internet Based Experiments (IBEX). 2018. URL: https://doi.org/10.17605/OSF.IO/MD832.
Исследование выполнено за счет гранта Российского научного фонда №25-78-00071, https://rscf.ru/project/25-78-00071/, реализуемого в МГУ имени М.В.Ломоносова.